Mathematics
and Interactions
Home
Videos
Collections
Institutions
Speakers
fr
Login
Please
leave your feedback
in order for us to improve your experience !
11 videos
Inter'Actions 2015 - colloque pour les doctorants en mathématiques en France
3 videos
Mikhail Gromov : Generation, Transformation, Transmission, Memorization, Storage and Expression of Information From Cell to LLM : Signals, Structures, Knowledge and Learning
84 videos
Not Only Scalar Curvature Seminar
4 videos
Composition operators and Banach spaces theory / Opérateurs de composition et espaces de Banach
All the collections
All the institutions
Benjamin Brück
One video
51:56
published on
December 3, 2025
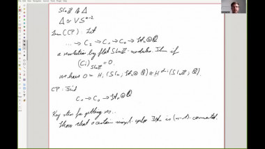
High-dimensional rational cohomology of $\operatorname{SL}_n(\mathbb{Z})$ and $\operatorname{Sp}_{2n}(\mathbb{Z})$
By Benjamin Brück
Home
Videos
Collections
Institutions
Speakers
About
Login
Fr
/
En
Help
Legal Notice
& Privacy Policy
Copyright Carmin.tv 2026
By browsing our website, you accept the use of cookies to improve your experience.
Find out more about our privacy policy
.
Approve
Give feedback