Mathématiques
et Interactions
Accueil
Vidéos
Collections
Instituts
Conférencier·e·s
en
Connexion
Merci de nous
donner votre avis
pour que nous puissions améliorer votre expérience !
11 videos
Inter'Actions 2015 - colloque pour les doctorants en mathématiques en France
3 videos
Mikhail Gromov : Generation, Transformation, Transmission, Memorization, Storage and Expression of Information From Cell to LLM : Signals, Structures, Knowledge and Learning
84 videos
Not Only Scalar Curvature Seminar
4 videos
Composition operators and Banach spaces theory / Opérateurs de composition et espaces de Banach
Toutes les collections
Tous les instituts
Benjamin Brück
Une vidéo
51:56
publiée le
3 décembre 2025
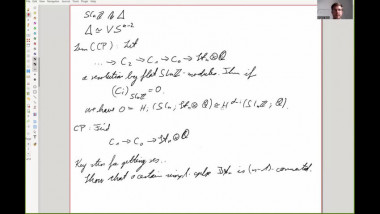
High-dimensional rational cohomology of $\operatorname{SL}_n(\mathbb{Z})$ and $\operatorname{Sp}_{2n}(\mathbb{Z})$
De Benjamin Brück
Accueil
Vidéos
Collections
Instituts
Conférencier·e·s
À Propos
Connexion
Fr
/
En
Aide
Mentions légales
& Politique de confidentialité
Copyright Carmin.tv 2026
En poursuivant votre navigation sur ce site, vous acceptez l'utilisation de cookies pour améliorer votre expérience.
En savoir plus sur notre politique de confidentialité
.
Accepter
Donner son avis