An Introduction to Hyperbolic Geometry

Collection An Introduction to Hyperbolic Geometry

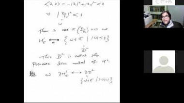
We shall give a gentle introduction to hyperbolic geometry, insisting on the hyperbolic plane, before considering higher dimensional spaces.


Organisateur(s) Arindam Bhattacharyya, Peter Haissinsky
URL associée http://phaissin.perso.math.cnrs.fr/CIMPAKolkata/indexcimpa-kolkata.html
Donner son avis